为弘扬中华优秀传统文化,丰富校园文化生活,积极响应“以诗会友”号召,让同学们在多彩活动中感受中秋文化魅力、获得精神滋养,太阳成集团tyc151cc举办“月满中秋,诗韵情长”硬笔书法活动。
此次活动将诗词文章与硬笔书法艺术相结合,为同学们打造一个陶冶情操、展示才华的平台,让大家在笔墨书香中沉浸式体验中秋文化的独特魅力,充分展现了中华优秀传统文化的深厚底蕴与时代活力。
获奖名单:
一等奖
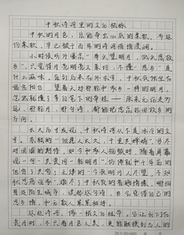
24级康复治疗1班 赵士政

二等奖
25级护理16班 韩永娜

25级婴幼儿托育服务与管理 李铭鑫

三等奖
24级南丁格尔3班 魏语涵

24级护理9班 张亚楠


24级护理9班 李俊瑶

优秀奖
24级护理3班 周炳军

24级护理2班 范振云

25级护理10班 孔贝宁

25级康复治疗6班 李许
25级护理3班 黄雯鑫
